题目内容
某工厂师徒二人各加工相同型号的零件2个,是否加工出精品均互不影响.已知师父加工一个零件是精品的概率为(Ⅰ)求徒弟加工该零件的精品数多于师父的概率;
(Ⅱ)设师徒二人加工出的4个零件中精品个数为ξ,求ξ的分布列与期望Eξ.
【答案】分析:(Ⅰ)求出徒弟加工一个零件为精品的概率,写出分布列,徒弟加工该零件的精品数多于师父包括三种情况,这三种情况是互斥的,根据相互独立事件同时发生的概率和互斥事件的概率得到结果;
(Ⅱ)由题意知师徒二人加工出的4个零件中精品个数为ξ,则ξ的可能取值是为0,1,2,3,4,对应于变量的事件做出概率,即可写出分布列和期望.
解答:解:设徒弟加工一个零件为精品的概率为P,则
,∴
师父加工两个零件中,精品个数的分布列为
徒弟加工两个零件中,精品个数的分布列为
(1)设徒弟加工该零件的精品数多于师父的概率为P1.则
.
(2)P(ξ=0)=
=
,
P(ξ=1)=
+
=
P(ξ=2)=
+
+
=
P(ξ=3)=
+
=
P(ξ=4)=
=
∴ξ的分布列为:
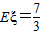
∴ξ的期望Eξ为
.
答:(1)徒弟加工该零件的精品数多于师父的概率为P1=
;(2)ξ的期望
.
点评:本题考查离散型随机变量的分布列和期望,考查相互独立事件的概率,考查互斥事件的概率,属于中档题.
(Ⅱ)由题意知师徒二人加工出的4个零件中精品个数为ξ,则ξ的可能取值是为0,1,2,3,4,对应于变量的事件做出概率,即可写出分布列和期望.
解答:解:设徒弟加工一个零件为精品的概率为P,则
师父加工两个零件中,精品个数的分布列为
| ξ1 | 1 | 2 | |
| 概率 |
| ξ2 | 1 | 2 | |
| 概率 |
(2)P(ξ=0)=
P(ξ=1)=
P(ξ=2)=
P(ξ=3)=
P(ξ=4)=
∴ξ的分布列为:
| ξ | 1 | 2 | 3 | 4 | |
| 概率 |
答:(1)徒弟加工该零件的精品数多于师父的概率为P1=
点评:本题考查离散型随机变量的分布列和期望,考查相互独立事件的概率,考查互斥事件的概率,属于中档题.
练习册系列答案
相关题目