题目内容
已知函数f(x)=ax2+bx+1,(a,b是实数),x∈R,(1)若f(-1)=0并且函数f(x)的值域为[0,+∞),求函数F(x)的表达式;
(2)在(1)的条件下,当x∈[-2,3]时,g(x)=f(x)-kx是单调函数,求实数k的取值范围.
【答案】分析:(1)由f(x)=ax2+bx+1,f(-1)=0,知a-b+1=0,由x∈R,f(x)的值域为[0,+∞),知b2-4(b-1)=0,由此能求出函数F(x)的表达式.
(2)g(x)=f(x)-kx=x2+(2-k)x+1,x∈[-2,2],对称轴方程是
,由此能求出当x∈[-2,3]时,g(x)=f(x)-kx是单调函数时实数k的取值范围.
解答:解:(1)∵f(x)=ax2+bx+1,f(-1)=0,
∴a-b+1=0,
∵x∈R,f(x)的值域为[0,+∞),
∴
,
∴b2-4(b-1)=0,
即(b-2)2=0,∴b=2,a=1,
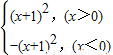
∴f(x)=x2+2x+1=(x+1)2,
∴F(x)=
.…(6分)
(2)g(x)=f(x)-kx=x2+(2-k)x+1,x∈[-2,2],
对称轴方程是
,
由图象可得,当
或
,
即k≤-2或k≥8时,g(x)是单调函数.…(12分)
点评:本题考查二次函数的性质和应用,是基础题.解题时要认真审题,仔细解答,注意合理地进行等价转化.
(2)g(x)=f(x)-kx=x2+(2-k)x+1,x∈[-2,2],对称轴方程是
解答:解:(1)∵f(x)=ax2+bx+1,f(-1)=0,
∴a-b+1=0,
∵x∈R,f(x)的值域为[0,+∞),
∴
∴b2-4(b-1)=0,
即(b-2)2=0,∴b=2,a=1,
∴f(x)=x2+2x+1=(x+1)2,
∴F(x)=
(2)g(x)=f(x)-kx=x2+(2-k)x+1,x∈[-2,2],
对称轴方程是
由图象可得,当
即k≤-2或k≥8时,g(x)是单调函数.…(12分)
点评:本题考查二次函数的性质和应用,是基础题.解题时要认真审题,仔细解答,注意合理地进行等价转化.
练习册系列答案
相关题目