题目内容
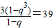
已知各项均为正数的等比数列{an}的前n项和为Sn,a1=3,S3=39.(1)求数列{an}通项公式;
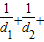
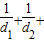
(2)若在an与an+1之间插入n个数,使得这n+2个数组成一个公差为dn的等差数列,求证:
【答案】分析:(Ⅰ)由a1=3,S3=39,知1+q+q2=13.故q=3,或q=-4,由此能求出
.
(Ⅱ)由
,知
,由题知:an+1=an+(n+1)dn,则
.由上知:
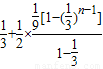
,所以
=
,由此利用错位相减法能够证明
…
.
解答:解:(Ⅰ)∵a1=3,S3=39,∴q≠1,
,
∴1+q+q2=13.∴q=3,或q=-4(舍),
故
.…(6分)
(Ⅱ)∵
,则
,由题知:
an+1=an+(n+1)dn,则
.
由上知:
,
所以
=
,
,
所以
-
=
-
=
,
所以
.
故
…
.…(12分)
点评:本题考查数列通项公式的求法,证明数列的前n项和小于定值.综合性强,难度大,有一定的探索性,对数学思维能力要求较高,是高考的重点.解题时要认真审题,仔细解答,注意错位相减法的合理运用.
(Ⅱ)由
解答:解:(Ⅰ)∵a1=3,S3=39,∴q≠1,
∴1+q+q2=13.∴q=3,或q=-4(舍),
故
(Ⅱ)∵
an+1=an+(n+1)dn,则
由上知:
所以
所以
=
=
所以
故
点评:本题考查数列通项公式的求法,证明数列的前n项和小于定值.综合性强,难度大,有一定的探索性,对数学思维能力要求较高,是高考的重点.解题时要认真审题,仔细解答,注意错位相减法的合理运用.
练习册系列答案
相关题目