题目内容
已知
.
(1)b=2时,求f(x)的值域;
(2)若b为正实数,f(x)的最大值为M,最小值为m,且满足:M﹣m≥4,求b的取值范围.
(1)b=2时,求f(x)的值域;
(2)若b为正实数,f(x)的最大值为M,最小值为m,且满足:M﹣m≥4,求b的取值范围.
解:(1)当b=2时,
,
因为f(x)在
上单调递减,在
上单调递增,
所以f(x)的最小值为
,
又因为f(1)=f(2)=0
所以f(x)的值域为
(2)①当0<b<2时,f(x)在[1,2]上单调递增,则
m=b﹣2,
,
此时
,
得b≤﹣6与0<b<2矛盾(舍去)
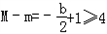
②当2≤b<4时,f(x)在
上单调递减,在
上单调递增,所以
,
则
,得
,
解得b≥9,与2≤b<4矛盾(舍去)
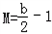
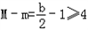
③当b≥4时,f(x)在[1,2]上单调递减,则M=b﹣2,
,
此时
,得b≥10
综上所述,b的取值范围是[10,+∞)
因为f(x)在
所以f(x)的最小值为
又因为f(1)=f(2)=0
所以f(x)的值域为
(2)①当0<b<2时,f(x)在[1,2]上单调递增,则
m=b﹣2,
此时
得b≤﹣6与0<b<2矛盾(舍去)
②当2≤b<4时,f(x)在
则
解得b≥9,与2≤b<4矛盾(舍去)
③当b≥4时,f(x)在[1,2]上单调递减,则M=b﹣2,
此时
综上所述,b的取值范围是[10,+∞)
练习册系列答案
相关题目