题目内容
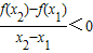
定义在R上的偶函数f(x)满足:对任意的x1,x2∈[0,+∞)(x1≠x2),有A.f(-2)<f(1)<f(3)
B.f(1)<f(-2)<f(3)
C.f(3)<f(-2)<f(1)
D.f(3)<f(1)<f(-2)
【答案】分析:根据奇偶性可知f(-2)=f(2),然后根据题目条件得到函数f(x)在[0,+∞)上是减函数,从而得到f(1)、f(2)、f(3)的大小关系,得到结论.
解答:解:∵f(x)是偶函数
∴f(-2)=f(2)
又∵任意的x1,x2∈[0,+∞)(x1≠x2),有
∴f(x)在[0,+∞)上是减函数
又∵1<2<3
∴f(1)>f(2)>f(3)
即f(1)>f(-2)>f(3)
故选C.
点评:本题主要考查了函数的奇偶性和单调性的应用,在比较大小中,用单调性的较多,属于中档题.
解答:解:∵f(x)是偶函数
∴f(-2)=f(2)
又∵任意的x1,x2∈[0,+∞)(x1≠x2),有
∴f(x)在[0,+∞)上是减函数
又∵1<2<3
∴f(1)>f(2)>f(3)
即f(1)>f(-2)>f(3)
故选C.
点评:本题主要考查了函数的奇偶性和单调性的应用,在比较大小中,用单调性的较多,属于中档题.
练习册系列答案
相关题目