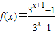
题目内容
已知函数(Ⅰ)判断函数g(x)的奇偶性;
(Ⅱ)若当x∈(-1,0)时,g(x)<tf(x)恒成立,求实数t的最大值.
【答案】分析:(Ⅰ)利用函数奇偶性的定义,判断函数g(x)的奇偶性;
(Ⅱ)利用函数的单调性求函数的最值即可.
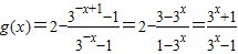
解答:解:(Ⅰ)因为
,函数g(x)=2-f(-x).
所以
,定义域为{x|x≠0}关于原点对称,
因为
,
所以g(x)是奇函数.
(Ⅱ)由g(x)<tf(x)得,
,(*)
当x∈(-1,0)时,
,
,
(*)式化为3x+1>t(3x+1-1),(**) …(9分)
设3x=u,
,则(**) 式化为 (3t-1)u-t-1<0,…(11分)
再设h(u)=(3t-1)u-t-1,
则g(x)<tf(x)恒成立等价于
,
,
,
解得t≤1,故实数t的最大值为1.…(14分)
点评:本题主要考查函数奇偶性的判断,以及利用指数函数的性质求含参问题恒成立问题,综合性较强,考查学生的运算能力.
(Ⅱ)利用函数的单调性求函数的最值即可.
解答:解:(Ⅰ)因为
所以
因为
所以g(x)是奇函数.
(Ⅱ)由g(x)<tf(x)得,
当x∈(-1,0)时,
(*)式化为3x+1>t(3x+1-1),(**) …(9分)
设3x=u,
再设h(u)=(3t-1)u-t-1,
则g(x)<tf(x)恒成立等价于
解得t≤1,故实数t的最大值为1.…(14分)
点评:本题主要考查函数奇偶性的判断,以及利用指数函数的性质求含参问题恒成立问题,综合性较强,考查学生的运算能力.
练习册系列答案
相关题目