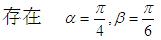
题目内容
(10分)是
否存在α.β,α∈(-,),β∈(0,π),使等式
sin(3π-α)=cos(-β),cos(-α)=-cos(π+β)同时成立?若存在,求出α,β的值,若不存在,请
说明理由.
![]()
解析
练习册系列答案
相关题目
题目内容
(10分)是
否存在α.β,α∈(-,),β∈(0,π),使等式
sin(3π-α)=cos(-β),cos(-α)=-cos(π+β)同时成立?若存在,求出α,β的值,若不存在,请
说明理由.
![]()
解析