ÌâÄ¿ÄÚÈÝ
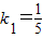
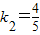
ijͶ×ʹ«Ë¾¼Æ»®Í¶×ÊA¡¢BÁ½ÖÖ½ðÈÚ²úÆ·£¬¸ù¾ÝÊг¡µ÷²éÓëÔ¤²â£¬A²úÆ·µÄÀûÈóyÓëͶ×ÊÁ¿x³ÉÕý±ÈÀý£¬Æä¹ØÏµÈçͼ1£¬B²úÆ·µÄÀûÈóyÓëͶ×ÊÁ¿xµÄËãÊõƽ·½¸ù³ÉÕý±ÈÀý£¬Æä¹ØÏµÈçͼ2£¬£¨×¢£ºÀûÈóÓëͶ×ÊÁ¿µ¥Î»£ºÍòÔª£©£¨1£©·Ö±ð½«A¡¢BÁ½²úÆ·µÄÀûÈó±íʾΪͶ×ÊÁ¿µÄº¯Êý¹ØÏµÊ½£»
£¨2£©¸Ã¹«Ë¾ÒÑÓÐ10ÍòÔª×ʽ𣬲¢È«²¿Í¶ÈëA¡¢BÁ½ÖÖ²úÆ·ÖУ¬ÎÊ£ºÔõÑù·ÖÅäÕâ10ÍòԪͶ×Ê£¬²ÅÄÜʹ¹«Ë¾»ñµÃ×î´óÀûÈó£¿Æä×î´óÀûÈóΪ¶àÉÙÍòÔª£¿
¡¾´ð°¸¡¿·ÖÎö£º£¨1£©ÓÉÓÚA²úÆ·µÄÀûÈóyÓëͶ×ÊÁ¿x³ÉÕý±ÈÀý£¬B²úÆ·µÄÀûÈóyÓëͶ×ÊÁ¿xµÄËãÊõƽ·½¸ù³ÉÕý±ÈÀý£¬¹Ê¿ÉÉ躯Êý¹ØÏµÊ½£¬ÀûÓÃͼÏóÖеÄÌØÊâµã£¬¿ÉÇóº¯Êý½âÎöʽ£»
£¨2£©ÉèA²úƷͶÈëxÍòÔª£¬ÔòB²úƷͶÈë10-xÍòÔª£¬ÉèÆóÒµÀûÈóΪyÍòÔª£®ÀûÓã¨1£©Óɴ˿ɽ¨Á¢º¯Êý£¬²ÉÓû»Ôª·¨£¬×ª»¯Îª¶þ´Îº¯Êý£®ÀûÓÃÅä·½·¨Çóº¯ÊýµÄ×îÖµ£®
½â´ð£º½â£º£¨1£©ÉèͶ×ÊΪxÍòÔª£¬A²úÆ·µÄÀûÈóΪf£¨x£©ÍòÔª£¬B²úÆ·µÄÀûÈóΪg£¨x£©ÍòÔª£®
ÓÉÌâÒâÉèf£¨x£©=k1x£¬
£®ÓÉͼ֪
£¬¡à
ÓÖg£¨4£©=1.6£¬¡à
£®´Ó¶ø
£¬
£¨8·Ö£©
£¨2£©ÉèA²úƷͶÈëxÍòÔª£¬ÔòB²úƷͶÈë10-xÍòÔª£¬ÉèÆóÒµÀûÈóΪyÍòÔª£®
£¨0¡Üx¡Ü10£©
Áî
£¬Ôò
=

µ±t=2ʱ£¬
£¬´Ëʱx=10-4=6£¨15·Ö£©
´ð£ºµ±A²úƷͶÈë6ÍòÔª£¬ÔòB²úƷͶÈë4ÍòԪʱ£¬
¸ÃÆóÒµ»ñµÃ×î´óÀûÈó£¬ÀûÈóΪ2.8ÍòÔª£® £¨16·Ö£©
µãÆÀ£º±¾ÌâµÄ¿¼µãÊǺ¯ÊýÄ£Ð͵ÄÑ¡ÔñÓëÓ¦Óã¬Ö÷Òª¿¼²éÕý±ÈÀýº¯ÊýÄ£ÐÍ£¬¹Ø¼üÊǽ«Êµ¼ÊÎÊÌâת»¯ÎªÊýѧÎÊÌ⣮
£¨2£©ÉèA²úƷͶÈëxÍòÔª£¬ÔòB²úƷͶÈë10-xÍòÔª£¬ÉèÆóÒµÀûÈóΪyÍòÔª£®ÀûÓã¨1£©Óɴ˿ɽ¨Á¢º¯Êý£¬²ÉÓû»Ôª·¨£¬×ª»¯Îª¶þ´Îº¯Êý£®ÀûÓÃÅä·½·¨Çóº¯ÊýµÄ×îÖµ£®
½â´ð£º½â£º£¨1£©ÉèͶ×ÊΪxÍòÔª£¬A²úÆ·µÄÀûÈóΪf£¨x£©ÍòÔª£¬B²úÆ·µÄÀûÈóΪg£¨x£©ÍòÔª£®
ÓÉÌâÒâÉèf£¨x£©=k1x£¬
ÓÖg£¨4£©=1.6£¬¡à
£¨2£©ÉèA²úƷͶÈëxÍòÔª£¬ÔòB²úƷͶÈë10-xÍòÔª£¬ÉèÆóÒµÀûÈóΪyÍòÔª£®
Áî
µ±t=2ʱ£¬
´ð£ºµ±A²úƷͶÈë6ÍòÔª£¬ÔòB²úƷͶÈë4ÍòԪʱ£¬
¸ÃÆóÒµ»ñµÃ×î´óÀûÈó£¬ÀûÈóΪ2.8ÍòÔª£® £¨16·Ö£©
µãÆÀ£º±¾ÌâµÄ¿¼µãÊǺ¯ÊýÄ£Ð͵ÄÑ¡ÔñÓëÓ¦Óã¬Ö÷Òª¿¼²éÕý±ÈÀýº¯ÊýÄ£ÐÍ£¬¹Ø¼üÊǽ«Êµ¼ÊÎÊÌâת»¯ÎªÊýѧÎÊÌ⣮
Á·Ï°²áϵÁдð°¸
Ïà¹ØÌâÄ¿