题目内容
已知数列{an}的前n项和为Sn,a1=1,an=2Sn-1(n≥2),则an= .
【答案】分析:利用n≥2时,an=Sn-Sn-1,确定数列{Sn}是以1为首项,3为公比的等比数列,从而可得结论.
解答:解:n≥2时,∵an=2Sn-1,∴Sn-Sn-1=2Sn-1,∴Sn=3Sn-1,
∵a1=1,∴S1=1
∴数列{Sn}是以1为首项,3为公比的等比数列
∴Sn=3n-1,
∴n≥2时,an=2Sn-1=2•3n-2,
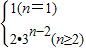
又a1=1,∴an=
故答案为:
点评:本题考查数列递推式,考查等比数列的判定,考查数列的通项,确定数列{Sn}是以1为首项,3为公比的等比数列是解题的关键.
解答:解:n≥2时,∵an=2Sn-1,∴Sn-Sn-1=2Sn-1,∴Sn=3Sn-1,
∵a1=1,∴S1=1
∴数列{Sn}是以1为首项,3为公比的等比数列
∴Sn=3n-1,
∴n≥2时,an=2Sn-1=2•3n-2,
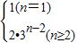
又a1=1,∴an=
故答案为:
点评:本题考查数列递推式,考查等比数列的判定,考查数列的通项,确定数列{Sn}是以1为首项,3为公比的等比数列是解题的关键.
练习册系列答案
相关题目
已知数列{an}的前n项和Sn=an2+bn(a、b∈R),且S25=100,则a12+a14等于( )
| A、16 | B、8 | C、4 | D、不确定 |