题目内容
在直角坐标系xOy中,以O为极点,x轴正半轴为极轴建立极坐标系,直线C1的极坐标方程为ρ(3cosθ+4sinθ)=m,曲线C2的参数方程为(1)若m=12,试确定C1与C2公共点的个数;
(2)已知曲线C3的参数方程为
【答案】分析:(1)求出直线C1的直角坐标方程、曲线C2的直角坐标方程,根据点到直线的距离公式求出圆心到直线的距离小于半径,从而得到直线和圆相交,从而得到C1与C2公共点的个数.
(2)根据导数的几何意义求出 a=
,从而求得b的值,进而求得m=3a+4b 的值.
解答:解:(1)若m=12,直线C1的极坐标方程ρ(3cosθ+4sinθ)=m化为直角坐标方程为 3x+4y-12=0,
曲线C2的参数方程为
(θ为参数),化为直角坐标方程为 (x+1)2+(y-2)2=4,
圆心(-1,2)到直线C1的距离等于
=
,小于半径,故直线和圆相交,故C1与C2公共点的个数为2.
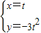
(2)已知曲线C3的参数方程为
(t为参数),化为直角坐标方程为 y=-3x2,∴y′=-6x,
设直线C1与C3相切时的切点M(a,b),故切线的斜率等于-6a=-
,解得 a=
,
∴b=-3a2=-
,
∴m=3a+4b=
.
点评:本题主要考查把极坐标方程化为直角坐标方程、把参数方程化为普通方程的方法,点到直线的距离公式的应用,导数的几何意义,属于基础题.
(2)根据导数的几何意义求出 a=
解答:解:(1)若m=12,直线C1的极坐标方程ρ(3cosθ+4sinθ)=m化为直角坐标方程为 3x+4y-12=0,
曲线C2的参数方程为
圆心(-1,2)到直线C1的距离等于
(2)已知曲线C3的参数方程为
设直线C1与C3相切时的切点M(a,b),故切线的斜率等于-6a=-
∴b=-3a2=-
∴m=3a+4b=
点评:本题主要考查把极坐标方程化为直角坐标方程、把参数方程化为普通方程的方法,点到直线的距离公式的应用,导数的几何意义,属于基础题.
练习册系列答案
相关题目