题目内容
已知数列{an}中,a1=-1,an+1•an=an+1-an,则数列的通项公式an= .
【答案】分析:把an+1•an=an+1-an两边除以an+1•an得
,由
,知
,由此能求出数列的通项公式an.
解答:解:∵an+1•an=an+1-an,
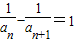
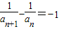
∴两边除以an+1•an得
,即
,
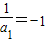
∵a1=-1,
∴
∴{
}是以-1为首项,以-1为公差的等差数列,
∴
,
∴
.
故答案为:-
.
点评:本题考查数列的通项公式的求法,是中档题.解题时要认真审题,仔细解答,注意构造法的合理运用.
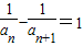
解答:解:∵an+1•an=an+1-an,
∴两边除以an+1•an得
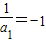
∵a1=-1,
∴
∴{
∴
∴
故答案为:-
点评:本题考查数列的通项公式的求法,是中档题.解题时要认真审题,仔细解答,注意构造法的合理运用.
练习册系列答案
相关题目
已知数列{an}中,a1=1,2nan+1=(n+1)an,则数列{an}的通项公式为( )
A、
| ||
B、
| ||
C、
| ||
D、
|