搜索
题目内容
解不等式
。
试题答案
相关练习册答案
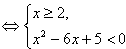
解:
或
或
或
或
所以,原不等式组的解集为
。
练习册系列答案
西城学科专项测试系列答案
小考必做系列答案
小考实战系列答案
小考复习精要系列答案
小考总动员系列答案
小升初必备冲刺48天系列答案
68所名校图书小升初高分夺冠真卷系列答案
伴你成长周周练月月测系列答案
小升初金卷导练系列答案
萌齐小升初强化模拟训练系列答案
相关题目
解不等式:
(1)
x-4
2x+5
≤1
;
(2)|2x+1|+|x-2|>4.
解不等式
1
x
2
-2
≤
1
|x|
定义在非零实数集上的函数f(x)对任意非零实数x,y恒有f(xy)=f(x)+f(y),当x∈(0,+∞)时,f(x)为增函数,
且f(2)=1.
(1)求f(1),f(-1)的值,并求证:f(x)为偶函数;
(2)判断并证明f(x)在(-∞,0)的单调性;
(3)解不等式:f(x)-f(x-2)>3.
设
f(
x
)
=
1
x
+2
x
.
(1)求f(x)的表达式.
(2)设函数g(x)=aχ-
1
x
2
+f(x),则是否存在实数a,使得g(x)为奇函数?说明理由;
(3)解不等式f(x)-χ>2.
选修4-5:不等式选讲
已知函数f(x)=|2x+1|+|2x-3|.
(Ⅰ)解不等式f(x)≤6;
(Ⅱ)若关于x的不等式f(x)<|1-2a|有解,求实数a的取值范围.
关 闭
试题分类
高中
数学
英语
物理
化学
生物
地理
初中
数学
英语
物理
化学
生物
地理
小学
数学
英语
其他
阅读理解答案
已回答习题
未回答习题
题目汇总
试卷汇总
练习册解析答案