题目内容
已知函数
,曲线
上是否存在两点
,使得△
是以
为直角顶点的直角三角形,且此三角形斜边的中点在
轴上.如果存在,求出实数
的范围;如果不存在,说明理由.
【答案】
存在,且实数
的取值范围是
.
【解析】
试题分析:先将斜边
的中点在
轴上这一条件进行转化,确定点
与点
之间的关系,并将
是以点
为直角顶点条件转化为
,进行得到一个方程,然后就这个方程在定义域上是否有解对自变量的取值进行分类讨论,进而求出参数
的取值范围.
试题解析:假设曲线
上存在两点
、
满足题意,则
、
两点只能在
轴两侧,
因为
是以
为直角顶点的直角三角形,所以
,
不妨设
,则由
的斜边的中点在
轴上知
,且
,
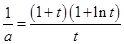
由
,所以
(*)
是否存在两点
、
满足题意等价于方程(*)是否有解问题,
(1)当
时,即
、
都在
上,则
,
代入方程(*),得
,即
,而此方程无实数解;
(2)当
时,即
在
上,
在
上,
则
,代入方程(*)得,
,即
,
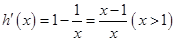
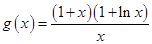
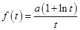
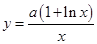
设
,则
,
再设
,则
,所以
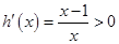
在
上恒成立,
在
上单调递增,
,从而
,故
在
上也单调递增,
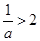
所以
,即
,解得
,
即当
时,方程
有解,即方程(*)有解,
所以曲线
上总存在两点
、
,使得
是以
为直角顶点的直角三角形,
且此三角形斜边的中点在
轴上,此时
.
考点:1.平面向量垂直;2.函数的零点
练习册系列答案
相关题目