题目内容
定义域为[-1,0)∪(0,1]上的奇函数f(x)满足f(x)=f(x-2),且当x∈(0,1)时,(1)求函数f(x)的解析式;
(2)求函数f(x)的值域.
【答案】分析:(1)求函数f(x)的解析式,即求x∈(-1,0)及x=±1时的表达式,由f(x)的奇偶性及f(x)=f(x-2)即可求得;
(2)因为f(x)为奇函数,所以只需先求出区间(0,1)上的值域即可,注意要对a分情况讨论.
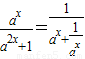
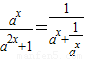
解答:解:(1)当x∈(-1,0)时,-x∈(0,1),则f(-x)=
=
,
因为f(x)为[-1,0)∪(0,1]上的奇函数,所以f(-x)=-f(x),∴f(x)=-
,
又f(-1)=-f(1),f(-1)=f(1-2)=f(1)∴f(1)=f(-1)=0.
故f(x)=
.
(2)①当a>1时,因为当x∈(0,1)时,ax∈(1,a),设t=ax,y=t+
(t∈(1,a)),则y′=1-
>0,
∴y=t+
=
∈(2,
),∴
∈(
,
).
②当0<a<1时,因为当x∈(0,1)时,ax∈(a,1),设t=ax,y=t+
(t∈(a,1)),则y′=1-
<0,
∴y=t+
=
∈(2,
),∴
∈(
,
).
综合①②,又函数f(x)为[-1,0)∪(0,1]上的奇函数,且f(-1)=f(1)=0,
所以函数f(x)的值域为(-
,-
)∪{0}∪(
,
).
点评:本题综合性强,知识覆盖面广,既考查函数的奇偶性、值域,又考查分析问题综合运用知识解决问题的能力.
(2)因为f(x)为奇函数,所以只需先求出区间(0,1)上的值域即可,注意要对a分情况讨论.
解答:解:(1)当x∈(-1,0)时,-x∈(0,1),则f(-x)=
因为f(x)为[-1,0)∪(0,1]上的奇函数,所以f(-x)=-f(x),∴f(x)=-
又f(-1)=-f(1),f(-1)=f(1-2)=f(1)∴f(1)=f(-1)=0.
故f(x)=
(2)①当a>1时,因为当x∈(0,1)时,ax∈(1,a),设t=ax,y=t+
∴y=t+
②当0<a<1时,因为当x∈(0,1)时,ax∈(a,1),设t=ax,y=t+
∴y=t+
综合①②,又函数f(x)为[-1,0)∪(0,1]上的奇函数,且f(-1)=f(1)=0,
所以函数f(x)的值域为(-
点评:本题综合性强,知识覆盖面广,既考查函数的奇偶性、值域,又考查分析问题综合运用知识解决问题的能力.
练习册系列答案
相关题目