题目内容
已知函数f(x)=sin2x+2sinx·cosx+3cos2x,x∈R。
求(1)若tanα=-2,求f(α)的值;
(2)函数f(x)的最大值及取得最大值的自变量x的集合。
求(1)若tanα=-2,求f(α)的值;
(2)函数f(x)的最大值及取得最大值的自变量x的集合。
解:(1)由题意,知


,
又
,
∴
。
(2)
,
∴f(x)的最大值是
,
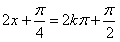
且当
(k∈Z)时,f(x)取得最大值,
此时
,
∴函数f(x)的最大值为
,取得最大值的自变量x的集合是{x|
}。
又
∴
(2)
∴f(x)的最大值是
且当
此时
∴函数f(x)的最大值为
练习册系列答案
相关题目