题目内容
函数A.奇函数
B.偶函数
C.既是奇函数又是偶函数
D.非奇非偶函数
【答案】分析:先求定义域,再利用奇偶函数的定义进行判断即可.
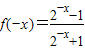
解答:解:
的定义域为R,且
=
=-f(x),
故f(x)为奇函数.
故选A.
点评:本题考查函数的奇偶性的判断,属基本题型、基本概念的考查,难度不大.在判断函数奇偶性的时,否定时一般用特值.
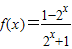
解答:解:
故f(x)为奇函数.
故选A.
点评:本题考查函数的奇偶性的判断,属基本题型、基本概念的考查,难度不大.在判断函数奇偶性的时,否定时一般用特值.
练习册系列答案
相关题目