题目内容
由曲线y=A.
B.4
C.
D.6
【答案】分析:利用定积分知识求解该区域面积是解决本题的关键,要确定出曲线y=
,直线y=x-2的交点,确定出积分区间和被积函数,利用导数和积分的关系完成本题的求解.
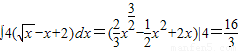
解答:解:联立方程
得到两曲线的交点(4,2),
因此曲线y=
,直线y=x-2及y轴所围成的图形的面积为S=
.
故选C.
点评:本题考查曲边图形面积的计算问题,考查学生分析问题解决问题的能力和意识,考查学生的转化与化归能力和运算能力,考查学生对定积分与导数的联系的认识,求定积分关键要找准被积函数的原函数,属于定积分的简单应用问题.
解答:解:联立方程
因此曲线y=
故选C.
点评:本题考查曲边图形面积的计算问题,考查学生分析问题解决问题的能力和意识,考查学生的转化与化归能力和运算能力,考查学生对定积分与导数的联系的认识,求定积分关键要找准被积函数的原函数,属于定积分的简单应用问题.
练习册系列答案
相关题目