题目内容
20.(本小题满分12分w.w.w.k.s.5.u.c.o.m)
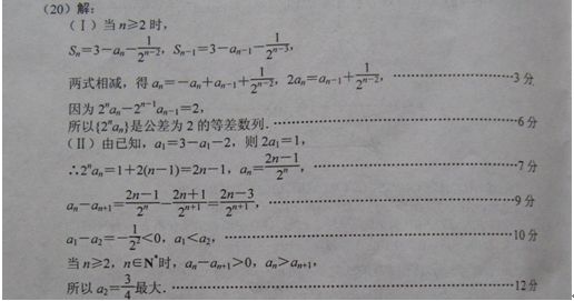
已知数列{an}的前n项和Sn=3―an―
,
.
(I)求证:
是等差数列;
(II)求an的最大值.w.w.w.k.s.5.u.c.o.m
(2)![]()
解析![]()
练习册系列答案
相关题目
题目内容
20.(本小题满分12分w.w.w.k.s.5.u.c.o.m)
已知数列{an}的前n项和Sn=3―an―
,
.
(I)求证:
是等差数列;
(II)求an的最大值.w.w.w.k.s.5.u.c.o.m
(2)![]()
解析![]()