搜索
题目内容
已知
,
(Ⅰ)求tanα的值;
(Ⅱ)求
的值。
试题答案
相关练习册答案
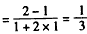
(Ⅰ)解法一:∵
,
∴
,
∴
,解得:
。
解法二:∵
,
∴
。
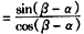
(Ⅱ)解:
。
练习册系列答案
寒假生活河北少年儿童出版社系列答案
寒假作业知识出版社系列答案
拓展阅读寒假能力训练吉林教育出版社系列答案
寒假百分百云南科技出版社系列答案
黄金假期寒假作业武汉大学出版社系列答案
寒假期导航学年知识大归纳辽海出版社系列答案
寒假生活湖南少年儿童出版社系列答案
寒假生活安徽教育出版社系列答案
寒假作业西南师范大学出版社系列答案
桂壮红皮书寒假作业河北人民出版社系列答案
相关题目
已知sinα+cosα=
3
3
,求tanα+
cosα
sinα
及sinα-cosα的值.
计算:
(1)
2lo
g
3
1
2
+lo
g
3
12-(0.7
)
0
+0.2
5
-1
;
(2)已知sinα=0.5,求tanα的值.
已知
,
(1)求tanα的值; (2)求cos2α+sin(π-α)的值.
已知
(1)求tanα;(2)求sinαcosα
已知
.
(1)求tanα的值;
(2)求
的值.
关 闭
试题分类
高中
数学
英语
物理
化学
生物
地理
初中
数学
英语
物理
化学
生物
地理
小学
数学
英语
其他
阅读理解答案
已回答习题
未回答习题
题目汇总
试卷汇总
练习册解析答案