题目内容
已知{an}是递增的等差数列,满足a2•a4=3,a1+a5=4.(1) 求数列{an}的通项公式和前n项和公式;
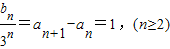
(2) 设数列{bn}对n∈N*均有
【答案】分析:(1)先由a2•a4=3,a1+a5=4.求出a2和a4进而求得公差以及其通项公式,再代入等差数列的求和公式即可求前n项和公式;
(2)先由
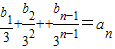
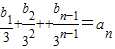
,得n≥2时
,作差可得bn的通项(n≥2),再检验b1即可求数列{bn}的通项公式.
解答:解:(1)∵a1+a5=a2+a4=4,再由a2•a4=3,
可解得a2=1,a4=3或a2=3,a4=1(舍去)
∵
,
∴an=1+1•(n-2)=n-1,

(2)由
,
当n≥2时
,
两式相减得
∴bn=3n(n≥2)①
当n=1时,
,
∵a2=1,∴b1=3,适合①
∴bn=3n.
点评:本题的第二问主要考查了已知前n项和为Sn求数列{an}的通项公式.根据an和Sn的关系:an=Sn-Sn-1 (n≥2)求解数列的通项公式.另外,须注意公式成立的前提是n≥2,所以要验证n=1时通项是否成立,若成立则:an=Sn-Sn-1 (n≥1);若不成立,则通项公式为分段函数.
(2)先由
解答:解:(1)∵a1+a5=a2+a4=4,再由a2•a4=3,
可解得a2=1,a4=3或a2=3,a4=1(舍去)
∵
∴an=1+1•(n-2)=n-1,
(2)由
当n≥2时
两式相减得
∴bn=3n(n≥2)①
当n=1时,
∵a2=1,∴b1=3,适合①
∴bn=3n.
点评:本题的第二问主要考查了已知前n项和为Sn求数列{an}的通项公式.根据an和Sn的关系:an=Sn-Sn-1 (n≥2)求解数列的通项公式.另外,须注意公式成立的前提是n≥2,所以要验证n=1时通项是否成立,若成立则:an=Sn-Sn-1 (n≥1);若不成立,则通项公式为分段函数.
练习册系列答案
相关题目