题目内容
已知点P(-1,1),点Q(2,4)是曲线y=x2上的两点,求与直线PQ平行的曲线y=x2的切线方程。
解:∵y′=(x2)′=2x,
设切点为M(x0,y0),则
=2x0,
又∵PQ的斜率为
,
而切线平行于PQ,
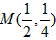
∴k=2x0=1,即
,
∴切点为
,
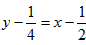
∴所求的切线方程为
,
即4x-4y-1=0。
设切点为M(x0,y0),则
又∵PQ的斜率为
而切线平行于PQ,
∴k=2x0=1,即
∴切点为
∴所求的切线方程为
即4x-4y-1=0。
练习册系列答案
相关题目