题目内容
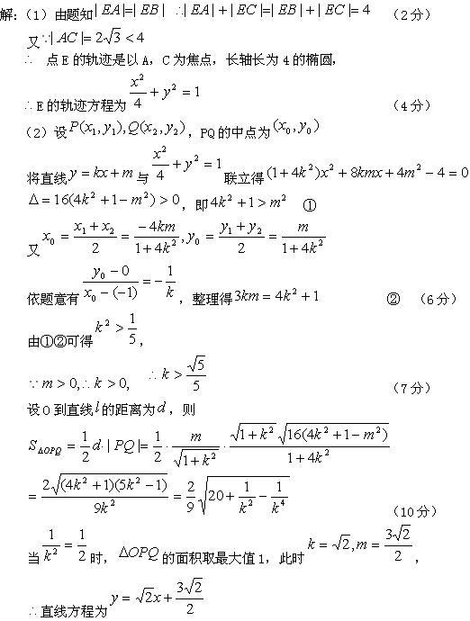
(12分)已知定点
,B是圆
(C为圆心)上的动点,AB的垂直平分线与BC交于点E.
(1)求动点E的轨迹方程;
(2)设直线
与E的轨迹交于P,Q两点,且以PQ为对角线的菱形的一顶点为(-1,0),求:
OPQ面积的最大值及此时直线
的方程.
练习册系列答案
相关题目
题目内容
(12分)已知定点
,B是圆
(C为圆心)上的动点,AB的垂直平分线与BC交于点E.
(1)求动点E的轨迹方程;
(2)设直线
与E的轨迹交于P,Q两点,且以PQ为对角线的菱形的一顶点为(-1,0),求:
OPQ面积的最大值及此时直线
的方程.