题目内容
已知函数f(x)=x2﹣2x﹣8,g(x)=2x2﹣4x﹣16,
(1)求不等式g(x)<0的解集;
(2)若对一切x>2,均有f(x)≥(m+2)x﹣m﹣15成立,求实数m的取值范围.
考点:
一元二次不等式的解法;函数恒成立问题.
专题:
不等式的解法及应用.
分析:
(1)直接因式分解后求解不等式的解集;
(2)把函数f(x)的解析式代入f(x)≥(m+2)x﹣m﹣15,分离变量m后利用基本不等式求解m的取值范围.
解答:
解:由g(x)=2x2﹣4x﹣16<0,得x2﹣2x﹣8<0,
即(x+2)(x﹣4)<0,解得﹣2<x<4.
所以不等式g(x)<0的解集为{x|﹣2<x<4};
(2)因为f(x)=x2﹣2x﹣8,
当x>2时,f(x)≥(m+2)x﹣m﹣15成立,
则x2﹣2x﹣8≥(m+2)x﹣m﹣15成立,
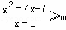
即x2﹣4x+7≥m(x﹣1).
所以对一切x>2,均有不等式
成立.
而
(当x=3时等号成立).
所以实数m的取值范围是(﹣∞,2].
点评:
本题考查了一元二次不等式的解法,考查了数学转化思想方法,训练了利用基本不等式求函数的最值,是基础题.
练习册系列答案
相关题目
| π |
| 2 |
A、f(x)=2sin(πx+
| ||
B、f(x)=2sin(2πx+
| ||
C、f(x)=2sin(πx+
| ||
D、f(x)=2sin(2πx+
|