题目内容
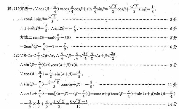
(本小题满分14分)已知:。
求的值;
求的值。
答案
(本小题满分14分)设椭圆C1的方程为(a>b>0),曲线C2的方程为y=,且曲线C1与C2在第一象限内只有一个公共点P。(1)试用a表示点P的坐标;(2)设A、B是椭圆C1的两个焦点,当a变化时,求△ABP的面积函数S(a)的值域;(3)记min{y1,y2,……,yn}为y1,y2,……,yn中最小的一个。设g(a)是以椭圆C1的半焦距为边长的正方形的面积,试求函数f(a)=min{g(a), S(a)}的表达式。
(本小题满分14分)已知=2,点()在函数的图像上,其中=.(1)证明:数列}是等比数列;(2)设,求及数列{}的通项公式;(3)记,求数列{}的前n项和,并证明.
(本小题满分14分)
某网店对一应季商品过去20天的销售价格及销售量进行了监测统计发现,第天()的销售价格(单位:元)为,第天的销售量为,已知该商品成本为每件25元.
(Ⅰ)写出销售额关于第天的函数关系式;
(Ⅱ)求该商品第7天的利润;
(Ⅲ)该商品第几天的利润最大?并求出最大利润.
(本小题满分14分)已知的图像在点处的切线与直线平行.
⑴ 求,满足的关系式;
⑵ 若上恒成立,求的取值范围;
⑶ 证明:()