题目内容
某空间几何体的三视图如图所示,则此几何体的体积( )A.有最大值2
B.有最大值4
C.有最大值6
D.有最小值2
【答案】分析:由三视图该几何可知:体是一个三棱锥,OA=OC=x,PO⊥底面ABC,PO=3,AB=BC=2,OB=y.据此可计算出V=xy,x2+y2=4,再利用基本不等式即可得出答案.
解答:解:由三视图该几何可知:体是一个三棱锥,OA=OC=x,PO⊥底面ABC,PO=3,AB=BC=2,OB=y.
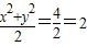
∴x2+y2=4,V三棱锥P-ABC=
=xy≤
,当且仅当x=y=
时取等号.
故此几何体的体积有最大值2.
故选A.
点评:由三视图正确恢复原几何体和利用基本不等式的性质是解题的关键.
解答:解:由三视图该几何可知:体是一个三棱锥,OA=OC=x,PO⊥底面ABC,PO=3,AB=BC=2,OB=y.
∴x2+y2=4,V三棱锥P-ABC=
故此几何体的体积有最大值2.
故选A.
点评:由三视图正确恢复原几何体和利用基本不等式的性质是解题的关键.
练习册系列答案
相关题目