题目内容
已知数列{an}的前n项和
【答案】分析:这是数列中的知Sn求an型题目,解决的办法是对n分n=1与n≥2两类讨论解决.
解答:解:∵Sn=3+2n,
∴当n=1时,S1=a1=3+2=5,
当n≥2时,an=Sn-Sn-1=2n-1,
当n=1时,不符合n≥2时的表达式.
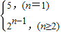
∴an=
.
故答案为:an=
.
点评:本题考查数列的函数特性,着重考查分类讨论思想在解决问题中的应用,属于基础题.
解答:解:∵Sn=3+2n,
∴当n=1时,S1=a1=3+2=5,
当n≥2时,an=Sn-Sn-1=2n-1,
当n=1时,不符合n≥2时的表达式.
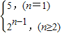
∴an=
故答案为:an=
点评:本题考查数列的函数特性,着重考查分类讨论思想在解决问题中的应用,属于基础题.
练习册系列答案
相关题目
已知数列{an}的前n项和Sn=an2+bn(a、b∈R),且S25=100,则a12+a14等于( )
| A、16 | B、8 | C、4 | D、不确定 |