题目内容
,画出程序框图.
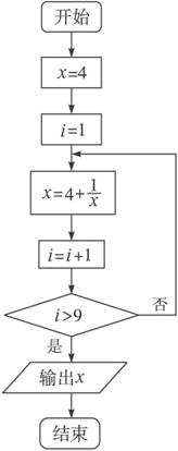
程序框图如下:
![]()
解析:
如果采用逐步计算的方法,利用顺序结构来实现,则非常麻烦,由于前后的运算需重复多次相同的运算,所以应采用循环结构,可用循环结构来实现其中的规律.观察原式中的变化的部分及不变项,找出总体的规律是4+
,要实现这个规律,需设初值x=4.
练习册系列答案
相关题目
题目内容
,画出程序框图.
程序框图如下:
![]()
如果采用逐步计算的方法,利用顺序结构来实现,则非常麻烦,由于前后的运算需重复多次相同的运算,所以应采用循环结构,可用循环结构来实现其中的规律.观察原式中的变化的部分及不变项,找出总体的规律是4+
,要实现这个规律,需设初值x=4.