题目内容
已知二次函数f(x)满足f(x-3)=f(-x-3),且该函数的图象与y轴交于点(0,-1),在x轴上截得的线段长为(1)确定该二次函数的解析式;
(2)当x∈[-6,-1]时,求f(x)值域.
【答案】分析:(1)设f(x)=ax2+b+c(a≠0),利用题中的条件求出a、b、c的值,即可得到函数的解析式.
(2)由于二次函数
的对称轴为 x=-3,且定义域为[-6,-1],利用二次函数的性质求得函数的值域.
解答:解:(1)设f(x)=ax2+b+c(a≠0),∵f(x)过点(0,-1),∴c=-1①.…(1分)
又f(x-3)=f(-x-3),∴f(x)对称轴
②.…(4分)
又
=
③,…(7分)
由①②③式得
,b=-2,c=-1,
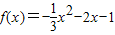
∴
.…(8分)
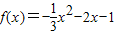
(2)由于二次函数
的对称轴为 x=-3,x∈[-6,-1],
故当x=-6时,ymin=-1,当x=-3时,ymax=2,
∴函数的值域为[-1,2].…(12分)
点评:本题主要考查二次函数的性质应用,用待定系数法求函数的解析式,求二次函数在闭区间上的最值,属于中档题.
(2)由于二次函数
解答:解:(1)设f(x)=ax2+b+c(a≠0),∵f(x)过点(0,-1),∴c=-1①.…(1分)
又f(x-3)=f(-x-3),∴f(x)对称轴
又
由①②③式得
∴
(2)由于二次函数
故当x=-6时,ymin=-1,当x=-3时,ymax=2,
∴函数的值域为[-1,2].…(12分)
点评:本题主要考查二次函数的性质应用,用待定系数法求函数的解析式,求二次函数在闭区间上的最值,属于中档题.
练习册系列答案
相关题目