题目内容
为了在夏季降温和冬季供暖时减少能源损耗,房屋的屋顶和外墙需要建造隔热层。某幢建筑物要建造可使用20年的隔热层,每厘米厚的隔热层建造成本为6万元,该建筑物每年的能源消耗费用C(单位:万元)与隔热层厚度x(单位:cm)满足关系:
,若不建隔热层,每年能源消耗费用为8万元.设f(x)为隔热层建造费用与20年的能源消耗费用之和,
(Ⅰ)求k的值及f(x)的表达式;
(Ⅱ)隔热层修建多厚时,总费用f(x)达到最小,并求最小值。
解:(Ⅰ)设隔热层厚度为xcm,
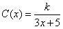
由题设,每年能源消耗费用为
,
再由C(0)=8,得k=40,因此
,
而建造费用为C1(x)=6x,
最后得隔热层建造费用与20年的能源消耗费用之和为

;
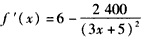
(Ⅱ)
,
令f′(x)=0,即
,解得
(舍去),
当0<x<5时,f′(x)<0,当5<x<10时,f′(x)>0,
故x=5是f(x)的最小值点,对应的最小值为
=70,
当隔热层修建5cm厚时,总费用达到最小值70万元。
由题设,每年能源消耗费用为
再由C(0)=8,得k=40,因此
而建造费用为C1(x)=6x,
最后得隔热层建造费用与20年的能源消耗费用之和为
(Ⅱ)
令f′(x)=0,即
当0<x<5时,f′(x)<0,当5<x<10时,f′(x)>0,
故x=5是f(x)的最小值点,对应的最小值为
当隔热层修建5cm厚时,总费用达到最小值70万元。
练习册系列答案
相关题目