题目内容
已知函数f(x)=4x-a2x+b,当x=1时,f(x)有最小值-1;(1)求a,b的值;
(2)求满足f(x)≤0的x的集合A.
【答案】分析:(1)考虑换元
,由题意可得当x=1时,即t=2∈(0,+∞),函数有最小值-1,结合二次函数的性质代入可求
(2)由f(x)≤0(2可得∴1≤2x≤3,解不等式可求集合A
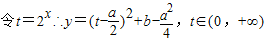
解答:解:(1)
换元
(2分)
∵当x=1时,t=2∈(0,+∞),f(x)有最小值-1(1分)
∴
(2分)
(2)f(x)=4x-4×2x+3≤0?(2x-3)(2x-1)≤0
∴1≤2x≤3∴0≤x≤log23
∴集合A={x|0≤x≤log23}(3分)
点评:本题主要考查了二次函数在闭区间上的最值的求解,注意体会换元法的应用,更要注意新元t的范围不要漏掉,还考查了指数不等式的解法
(2)由f(x)≤0(2可得∴1≤2x≤3,解不等式可求集合A
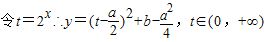
解答:解:(1)
换元
∵当x=1时,t=2∈(0,+∞),f(x)有最小值-1(1分)
∴
(2)f(x)=4x-4×2x+3≤0?(2x-3)(2x-1)≤0
∴1≤2x≤3∴0≤x≤log23
∴集合A={x|0≤x≤log23}(3分)
点评:本题主要考查了二次函数在闭区间上的最值的求解,注意体会换元法的应用,更要注意新元t的范围不要漏掉,还考查了指数不等式的解法
练习册系列答案
相关题目