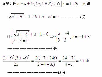
题目内容
(12分)已知复数满足: 求的值.
答案
(01全国卷理) (12分)
已知复数z1 = i (1-i) 3.
(Ⅰ)求arg z1及;
(Ⅱ)当复数z满足=1,求的最大值.
(04年上海卷)(12分)
已知复数z1满足(1+i)z1=-1+5i, z2=a-2-i, 其中i为虚数单位,a∈R, 若<,求a的取值范围.
(本小题满分12分)
已知复数满足.求复数在复平面上对应点的轨迹.
(本小题满分12分)已知复数满足.求复数在复平面上对应点的轨迹.