题目内容
已知函数f(x)=lnx.(1)求函数g(x)=f(x+1)-x的最大值;
(2)若?x>0,不等式f(x)≤ax≤x2+1恒成立,求实数α的取值范围;
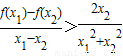
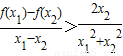
(3)若x1>x2>0,求证:
【答案】分析:(1)由g(x)=ln(x+1)-x,x>-1,知
,由此能求出函数g(x)=f(x+1)-x的最大值.
(2)由?x>0,不等式f(x)≤ax≤x2+1恒成立,知
在x>0上恒成立,由此能求出实数α的取值范围.(3)当x1>x2>0时,不等式
等价于ln
>
,由此利用构造法能够证明
.
解答:解:(1)∵f(x)=lnx,g(x)=f(x+1)-x,
∴g(x)=ln(x+1)-x,x>-1,
则
.…(2分)
当x∈(-1,0)时,g′(x)>0,则g(x)在(-1,0)上单调递增;
当x∈(0,+∞)时,g′(x)<0,则g(x)在(0,+∞)上单调递减,
∴g(x)在x=0处取得最大值g(0)=0.…(4分)
(2)∵?x>0,不等式f(x)≤ax≤x2+1恒成立,
∴
在x>0上恒成立.…(6分)
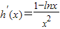
设h(x)=
,则
.
当x∈(1,e)时,h′(x)>0;当x∈(e,+∞)时,h′(x)<0,
∴h(x)在x=e时取最大值h(e)=
.
要使f(x)≤ax恒成立,必须a
..…(8分)
另一方面,当x>0时,x+
≥2,要ax≤x2+1恒成立,必须a≤2.
所以,满足条件的a的取值范围是[
,2]..…(10分)
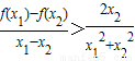
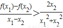
(3)当x1>x2>0时,
不等式
等价于ln
>
.…(12分)
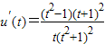
令t=
,设u(t)=lnt-
,t>1,则
>0,
∴u(t)在[1,+∞)内是增函数,
∴u(t)≥u(1)=ln1-
=0,
∴ln
>
,
∴
.…(15分)
点评:本题考查函数的最大值的求法,考查满足条件的实数的取值范围的求法,考查不等式的证明,解题时要认真审题,仔细解答,注意等价转化思想、构造法、导数性质的合理运用.
(2)由?x>0,不等式f(x)≤ax≤x2+1恒成立,知
解答:解:(1)∵f(x)=lnx,g(x)=f(x+1)-x,
∴g(x)=ln(x+1)-x,x>-1,
则
当x∈(-1,0)时,g′(x)>0,则g(x)在(-1,0)上单调递增;
当x∈(0,+∞)时,g′(x)<0,则g(x)在(0,+∞)上单调递减,
∴g(x)在x=0处取得最大值g(0)=0.…(4分)
(2)∵?x>0,不等式f(x)≤ax≤x2+1恒成立,
∴
设h(x)=
当x∈(1,e)时,h′(x)>0;当x∈(e,+∞)时,h′(x)<0,
∴h(x)在x=e时取最大值h(e)=
要使f(x)≤ax恒成立,必须a
另一方面,当x>0时,x+
所以,满足条件的a的取值范围是[
(3)当x1>x2>0时,
不等式
令t=
∴u(t)在[1,+∞)内是增函数,
∴u(t)≥u(1)=ln1-
∴ln
∴
点评:本题考查函数的最大值的求法,考查满足条件的实数的取值范围的求法,考查不等式的证明,解题时要认真审题,仔细解答,注意等价转化思想、构造法、导数性质的合理运用.
练习册系列答案
相关题目