题目内容
在杨辉三角形中,每一行除首末两个数之外,其余每个数都等于它肩上的两数之和.(1)试用组合数表示这个一般规律;
(2)在数表中试求第n行(含第n行)之前所有数之和;
(3)试探究在杨辉三角形的某一行能否出现三个连续的数,使它们的比是3:4:5,并证明你的结论.
第0行 1
第1行 1 1
第2行 1 2 1
第3行 1 3 3 1
第4行 1 4 6 4 1
第5行 1 5 10 10 5 1
第6行 1 6 15 20 15 6 1.
【答案】分析:(1)从杨辉三角形中的数字看出,每一行除首末两个数之外,其余每个数都等于它肩上的两数之和,符合组合数的第二条性质;
(2)杨辉三角中第n行的所有数是二项展开式
的所有二项式系数的和,取x=1可得第n行的所有数字和为2n,然后利用等比数列求和;
(3)假设在杨辉三角形的某一行能出现三个连续的数,使它们的比是3:4:5,由此列两个关于n和r的方程组,能够解出对应的n和r的值,说明假设成立.
解答:解:(1)设表中任一不为1的数为
,它肩上的两个数分别为
,则有
;
(2)杨辉三角中第n行的所有数可以看做是二项展开式
的所有二项式系数的和,取x=1可得第n行的所有数字和为2n,所以数表中第n行(含第n行)之前所有数之和为1+2+22+…+2n
=
=2n+1-1;
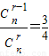
(3)设
,
由
,得
,即3n-7r+3=0 ①
由
,得
,即4n-9r-5=0 ②
联立①②解得n=62,r=27.
所以在杨辉三角形的某一行能出现三个连续的数
,使它们的比是3:4:5.
点评:本题考查了组合及组合数公式,考查了类比推理,解答此题的关键是明确杨辉三角中的每一行的数都是在n取不同值时的二项展开式的二项式系数,是基础题.
(2)杨辉三角中第n行的所有数是二项展开式
(3)假设在杨辉三角形的某一行能出现三个连续的数,使它们的比是3:4:5,由此列两个关于n和r的方程组,能够解出对应的n和r的值,说明假设成立.
解答:解:(1)设表中任一不为1的数为
(2)杨辉三角中第n行的所有数可以看做是二项展开式
=
(3)设
由
由
联立①②解得n=62,r=27.
所以在杨辉三角形的某一行能出现三个连续的数
点评:本题考查了组合及组合数公式,考查了类比推理,解答此题的关键是明确杨辉三角中的每一行的数都是在n取不同值时的二项展开式的二项式系数,是基础题.
练习册系列答案
相关题目