题目内容
已知函数f(x)=x2+x-6,g(x)=2x+1,α、β是方程f(x)=0的两个根(α>β).(1)求α、β的值;
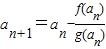
(2)数列{an}满足:a1=1,an+1=g(an),求an;
(3)数列{an}满足:
【答案】分析:(1)先求出方程的根,再利用α、β是方程f(x)=0的两个根(α>β),即可得到结论;
(2)证明{an+1}是以2为首项,2为公比的等比数列,即可求得an;
(3)确定数列相邻项的关系,可得等比数列,再利用等比数列的求和公式,即可得到结论.
解答:(1)解:由x2+x-6=0,可得x=2或-3,
∵α、β是方程f(x)=0的两个根(α>β),∴α=2,β=-3;
(2)解:∵g(x)=2x+1,∴an+1=g(an)=2an+1
∴an+1+1=2(an+1)
∵a1=1,
∴{an+1}是以2为首项,2为公比的等比数列
∴an+1=2n,即an=2n-1;
(3)证明:
=
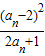
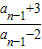
∴an+1+3=
+3=
,an+1-2=
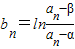
∴
=ln
=2ln
=2bn-1
∴{bn)是首项为ln
=ln6,公比为2的等比数列
∴{bn}的前n项和Sn=
=(2n-1)ln6.
点评:本题考查数列与函数的关系,考查等比数列的判定,考查等比数列的通项与求和,属于中档题.
(2)证明{an+1}是以2为首项,2为公比的等比数列,即可求得an;
(3)确定数列相邻项的关系,可得等比数列,再利用等比数列的求和公式,即可得到结论.
解答:(1)解:由x2+x-6=0,可得x=2或-3,
∵α、β是方程f(x)=0的两个根(α>β),∴α=2,β=-3;
(2)解:∵g(x)=2x+1,∴an+1=g(an)=2an+1
∴an+1+1=2(an+1)
∵a1=1,
∴{an+1}是以2为首项,2为公比的等比数列
∴an+1=2n,即an=2n-1;
(3)证明:
∴an+1+3=
∴
∴{bn)是首项为ln
∴{bn}的前n项和Sn=
点评:本题考查数列与函数的关系,考查等比数列的判定,考查等比数列的通项与求和,属于中档题.
练习册系列答案
相关题目
| π |
| 2 |
A、f(x)=2sin(πx+
| ||
B、f(x)=2sin(2πx+
| ||
C、f(x)=2sin(πx+
| ||
D、f(x)=2sin(2πx+
|