题目内容
抛物线A.-8
B.-12
C.4
D.16
【答案】分析:先由双曲线方程得出右准线方程,进而求得p,则双曲线准线方程可得,进而求得抛物线方程中的P,则抛物线的焦点坐标可得.
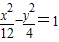
解答:解:双曲线方程得
,
∴a=2
,b=2,c=
∴双曲线的右准线方程为x=
=3,
∴抛物线的准线方程为x=3,
∴p=3,
即:-
,m=-12
故选B.
点评:本题主要考查了抛物线的简单性质,圆锥曲线的共同特征.解答的关键是学生对基础知识的综合把握能力.
解答:解:双曲线方程得
∴a=2
∴双曲线的右准线方程为x=
∴抛物线的准线方程为x=3,
∴p=3,
即:-
故选B.
点评:本题主要考查了抛物线的简单性质,圆锥曲线的共同特征.解答的关键是学生对基础知识的综合把握能力.
练习册系列答案
相关题目