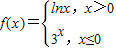
题目内容
已知函数A.3
B.
C.-3
D.
【答案】分析:利用分段函数求出f(
),然后求解
的值.
解答:解:因为函数
,
所以f(
)=ln
=-1.
所以
=f(-1)=3-1=
.
故选B.
点评:本题考查分段函数的函数值的求法,考查函数的定义域与函数的表达式的对应关系的应用,考查计算能力.
解答:解:因为函数
所以f(
所以
故选B.
点评:本题考查分段函数的函数值的求法,考查函数的定义域与函数的表达式的对应关系的应用,考查计算能力.
练习册系列答案
相关题目