题目内容
已知函数f(x)=ax2-2(Ⅰ)当b=0时,若f(x)在[2,+∞)上单调递增,求a的取值范围;
(Ⅱ)求满足下列条件的所有实数对(a,b):当a是整数时,存在x,使得f(x)是f(x)的最大值,g(x)是g(x)的最小值.
【答案】分析:(Ⅰ)当b=0时,f(x)=ax2-4x,讨论a的取值,结合二次函数的单调性建立a的不等关系即可;
(Ⅱ)讨论a为0时不可能,要使f(x)有最大值,必须满足
,求出此时的x=x,根据g(x)取最小值时,x=x=a,建立等量关系,结合a是整数,求出a和b的值.
解答:解:(Ⅰ)当b=0时,f(x)=ax2-4x,
若a=0,f(x)=-4x,则f(x)在[2,+∞)上单调递减,不符题意,
故a≠0,要使f(x)在[2,+∞)上单调递增,必须满足
,
∴a≥1.
(Ⅱ)若a=0,
,则f(x)无最大值,故a≠0,
∴f(x)为二次函数,
要使f(x)有最大值,必须满足
,即a<0且
,
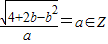
此时,
时,f(x)有最大值.
又g(x)取最小值时,x=x=a,
依题意,有
,
则
,
∵a<0且
,
∴
,得a=-1,此时b=-1或b=3.
∴满足条件的实数对(a,b)是(-1,-1),(-1,3).
点评:本题主要考查了函数单调性的应用,以及函数的最值及其几何意义,属于基础题.
(Ⅱ)讨论a为0时不可能,要使f(x)有最大值,必须满足
解答:解:(Ⅰ)当b=0时,f(x)=ax2-4x,
若a=0,f(x)=-4x,则f(x)在[2,+∞)上单调递减,不符题意,
故a≠0,要使f(x)在[2,+∞)上单调递增,必须满足
∴a≥1.
(Ⅱ)若a=0,
∴f(x)为二次函数,
要使f(x)有最大值,必须满足
此时,
又g(x)取最小值时,x=x=a,
依题意,有
则
∵a<0且
∴
∴满足条件的实数对(a,b)是(-1,-1),(-1,3).
点评:本题主要考查了函数单调性的应用,以及函数的最值及其几何意义,属于基础题.
练习册系列答案
相关题目