题目内容
已知点A、B的坐标分别是(0,-1)、(0,1),直线AM、BM相交于点M,且它们的斜率之积为-(1)求点M轨迹C的方程;
(2)若过点D(0,2)的直线l与(1)中的轨迹C交于不同的两点E、F,试求△OEF面积的取值范围(O为坐标原点).
【答案】分析:(1)设出点M的坐标,写出直线AM、BM的斜率,由斜率之积为-
列式求M得轨迹方程;
(2)设出直线l的方程,和椭圆方程联立后化为关于x的一元二次方程,利用根与系数关系写出两交点横坐标的和与积,把△OEF的面积转化为△OED与△OEF的面积的差,然后代入根与系数关系,换元后利用基本不等式求最值.
解答:解:(1)设点M的坐标为(x,y),
∵
,∴
.
整理得,
;
(2)由题意知直线l的斜率存在,设l的方程为y=kx+2.
联立
,得(2k2+1)x2+8kx+6=0.
由△=64k2-4×6(2k2+1)>0,解得
.
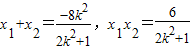
设E(x1,y1),B(x2,y2),
则
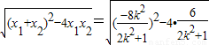
.
S△OEF=S△OED-S△OFD=
=
=
.
令
,所以
.
则
=
.
所以
.
点评:本题考查了与直线有关的动点的轨迹方程,考查了直线与圆锥曲线的关系,考查了数学转化思想方法,训练了利用基本不等式求最值,利用根与系数关系解题是该类问题常用的方法,此题有一定难度.
(2)设出直线l的方程,和椭圆方程联立后化为关于x的一元二次方程,利用根与系数关系写出两交点横坐标的和与积,把△OEF的面积转化为△OED与△OEF的面积的差,然后代入根与系数关系,换元后利用基本不等式求最值.
解答:解:(1)设点M的坐标为(x,y),
∵
整理得,
(2)由题意知直线l的斜率存在,设l的方程为y=kx+2.
联立
由△=64k2-4×6(2k2+1)>0,解得
设E(x1,y1),B(x2,y2),
则
S△OEF=S△OED-S△OFD=
=
令
则
所以
点评:本题考查了与直线有关的动点的轨迹方程,考查了直线与圆锥曲线的关系,考查了数学转化思想方法,训练了利用基本不等式求最值,利用根与系数关系解题是该类问题常用的方法,此题有一定难度.
练习册系列答案
相关题目