题目内容
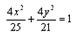
已知圆及点A(1,0),Q为圆上一点,AQ的垂直平分线交CQ于M,则点M的轨迹方程为________________.
解析
已知圆及点A(1,0),Q为圆上一点,AQ的垂直平分线
交CQ于M,则点M的轨迹方程为________________.