题目内容
如图所示,一个半圆和长方形组成的铁皮,长方形的边
为半圆的直径,
为半圆的圆心,
,
,现要将此铁皮剪出一个等腰三角形
,其底边
.
![]()
(1)设
,求三角形铁皮
的面积;
(2)求剪下的铁皮三角形
的面积的最大值.
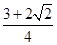
【答案】
(1)三角形铁皮
的面积为
;(2)剪下的铁皮三角形
的面积的最大值为
.
【解析】
试题分析:(1)利用锐角三角函数求出
和
的长度,然后以
为底边、以
为高,利用三角形面积公式求出三角形
的面积;(2)设
,以锐角
为自变量将
和
的长度表示出来,并利用面积公式求出三角形
的面积的表达式
,利用
与
之间的关系
,令
将三角形
的面积的表达式表示为以
为自变量的二次函数,利用二次函数的单调性求出三角形
的面积的最大值,但是要注意自变量
的取值范围作为新函数的定义域.
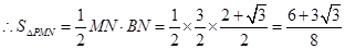
试题解析:(1)由题意知
,
,
,
,即三角形铁皮
的面积为
;
(2)设
,则
,
,
,
,
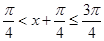
令
,由于
,所以
,
则有
,所以
,
且
,所以
,
故
,
而函数
在区间
上单调递增,
故当
时,
取最大值,即
,
即剪下的铁皮三角形
的面积的最大值为
.
考点:1.三角形的面积;2.三角函数的最值;3.二次函数的最值
练习册系列答案
相关题目