题目内容
设函数f(x)=|2x-1|,g(x)=|x-4|.(Ⅰ)解不等式f(x)<3;
(Ⅱ)解不等式f(x)+g(x)>4.
【答案】分析:(Ⅰ)|2x-1|<3?-3<2x-1<3,解出即可.
(Ⅱ)解不等式:|2x-1|+|x-4|>4,要分
、
、x>4三种情况去讨论,分别解出即可.
解答:解:(Ⅰ)∵|2x-1|<3,∴-3<2x-1<3,∴-1<x<2.
∴不等式f(x)<3的解集为{x|-1<x<2}.
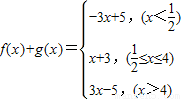
(Ⅱ)∵
,
①由
解得
;
②由
解得1<x≤4;
③由
解得x>4.
综上可知不等式f(x)+g(x)>4的解集为
.
点评:分类讨论是解绝对值不等式最常用的方法,必须熟练掌握.
(Ⅱ)解不等式:|2x-1|+|x-4|>4,要分
解答:解:(Ⅰ)∵|2x-1|<3,∴-3<2x-1<3,∴-1<x<2.
∴不等式f(x)<3的解集为{x|-1<x<2}.
(Ⅱ)∵
①由
②由
③由
综上可知不等式f(x)+g(x)>4的解集为
点评:分类讨论是解绝对值不等式最常用的方法,必须熟练掌握.
练习册系列答案
相关题目