题目内容
已知数列{an}的前n项和S满足:Sn=2an+(-1)n(n∈N+)。
(1)写出数列{an}的前三项a1,a2,a3;
(2)求数列{an}的通项公式。
(1)写出数列{an}的前三项a1,a2,a3;
(2)求数列{an}的通项公式。
解:(1)
,
,
;
(2)当n≥2时,



…

,
经验证n=1时也成立,
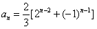
∴
。
(2)当n≥2时,
…
经验证n=1时也成立,
∴
练习册系列答案
相关题目
已知数列{an}的前n项和Sn=an2+bn(a、b∈R),且S25=100,则a12+a14等于( )
| A、16 | B、8 | C、4 | D、不确定 |