题目内容
已知函数f(x)=ex-x(e为自然对数的底数)(Ⅰ)求f(x)的最小值;
(Ⅱ)设不等式f(x)>ax的解集为P,且{x|0≤x≤2}⊆P,求实数a的取值范围;
【答案】分析:(I)先求导数,然后根据函数的单调性研究函数的极值点,连续函数f(x)在区间(a,b)内只有一个极值,那么极小值就是最小值;
(II)根据不等式f(x)>ax的解集为P,且{x|0≤x≤2}⊆P,可转化成,对任意的x∈[0,2],不等式f(x)>ax恒成立,将(1+a)x<ex变形为
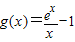
,令
,利用导数研究g(x)的最小值,使a小于最小值即可.
解答:解:(Ⅰ)f(x)的导数f′(x)=ex-1
令f′(x)>0,解得x>0;令f′(x)<0,
解得x<0.(2分)
从而f(x)在(-∞,0)内单调递减,在(0,+∞)内单调递增.
所以,当x=0时,f(x)取得最小值1.(5分)
(II)因为不等式f(x)>ax的解集为P,且{x|0≤x≤2}⊆P,
所以,对任意的x∈[0,2],不等式f(x)>ax恒成立,(6分)
由f(x)>ax,得(1+a)x<ex
当x=0时,上述不等式显然成立,
故只需考虑x∈(0,2]的情况.(7分)
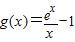
将(1+a)x<ex变形为
(8分)
令
,则
令g′(x)>0,解得x>1;令g′(x)<0,解得x<1.(10分)
从而g(x)在(0,1)内单调递减,在(1,2)内单调递增.
所以,当x=1时,g(x)取得最小值e-1,从而,
所求实数a的取值范围是(-∞,e-1).(12分)
点评:本题主要考查了利用导数求闭区间上函数的最值,以及恒成立问题,一般恒成立求参数问题常常将参数进行分离,转化成研究已知函数在某个区间上的最值问题,考查了划归与转化的思想,属于中档题.
(II)根据不等式f(x)>ax的解集为P,且{x|0≤x≤2}⊆P,可转化成,对任意的x∈[0,2],不等式f(x)>ax恒成立,将(1+a)x<ex变形为
解答:解:(Ⅰ)f(x)的导数f′(x)=ex-1
令f′(x)>0,解得x>0;令f′(x)<0,
解得x<0.(2分)
从而f(x)在(-∞,0)内单调递减,在(0,+∞)内单调递增.
所以,当x=0时,f(x)取得最小值1.(5分)
(II)因为不等式f(x)>ax的解集为P,且{x|0≤x≤2}⊆P,
所以,对任意的x∈[0,2],不等式f(x)>ax恒成立,(6分)
由f(x)>ax,得(1+a)x<ex
当x=0时,上述不等式显然成立,
故只需考虑x∈(0,2]的情况.(7分)
将(1+a)x<ex变形为
令
令g′(x)>0,解得x>1;令g′(x)<0,解得x<1.(10分)
从而g(x)在(0,1)内单调递减,在(1,2)内单调递增.
所以,当x=1时,g(x)取得最小值e-1,从而,
所求实数a的取值范围是(-∞,e-1).(12分)
点评:本题主要考查了利用导数求闭区间上函数的最值,以及恒成立问题,一般恒成立求参数问题常常将参数进行分离,转化成研究已知函数在某个区间上的最值问题,考查了划归与转化的思想,属于中档题.
练习册系列答案
相关题目