题目内容
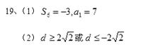
、 设,为实数,首项为,公差为的等差数列的前项和为,满足.(1)若, 求及;(2)求的取值范围.(12分)
解析
设,为实数,首项为,公差为的等差数列的前n项和为,满
足.(1)若,求及;
(2)求的取值范围.
、 设,为实数,首项为,公差为的等差数列的前项和为,满足.
(1)若, 求及;
(2)求的取值范围. (12分)
(本小题满分12分)
设,为实数,首项为,公差为的等差数列的前n项和为,满足.
(1)若,求及;
设,为实数,首项为,公差为的等差数列的前n项和为,满足.(1)若,求及;(2)求的取值范围.