题目内容
已知数列{an}的首项a1=1,若?n∈N*,an•an+1=-2,则an= .
【答案】分析:由给出的递推式,取n=n+1得另一个式子,两式作比后可得:
(n∈N*),由此可得数列的所有奇数项构成常数列,所有偶数项构成常数列,则数列的通项公式可求.
解答:解:数列{an}中,由an•an+1=-2①,得:an+1•an+2=-2②,
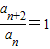
②÷①得:
(n∈N*),
∴数列{an}的奇数项和偶数项分别构成以1为公比的等比数列,
由a1=1,且an•an+1=2,得:
.
∴数列{an}的通项公式为
.
故答案为
.
点评:本题考查了数列的递推式,考查了由递推式求数列的通项公式,由数列的递推式求通项公式时,替换n的取值,由已知递推式得另一递推式,然后两式联立是求解该类问题常用的方法,此题是中档题.
解答:解:数列{an}中,由an•an+1=-2①,得:an+1•an+2=-2②,
②÷①得:
∴数列{an}的奇数项和偶数项分别构成以1为公比的等比数列,
由a1=1,且an•an+1=2,得:
∴数列{an}的通项公式为
故答案为
点评:本题考查了数列的递推式,考查了由递推式求数列的通项公式,由数列的递推式求通项公式时,替换n的取值,由已知递推式得另一递推式,然后两式联立是求解该类问题常用的方法,此题是中档题.
练习册系列答案
相关题目