搜索
题目内容
已知各项均为正数的数列{a
n
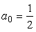
}满足a
0
=
,a
n
=a
n-1
+
a
2
n-1
其中n=1,2,3,…。
(1)求a
1
和a
2
的值;
(2)求证:
;
(3)求证:a
n
<n。
试题答案
相关练习册答案
解:(1)∵
∴
;
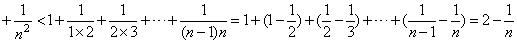
(2)∵
∴
∴
∴
;
(3)
…
又
∴
。
练习册系列答案
全优假期作业本快乐暑假系列答案
世纪夺冠导航总复习系列答案
海淀黄冈暑假作业合肥工业大学出版社系列答案
快乐暑假快乐学中原农民出版社系列答案
全程解读系列答案
天下无题系列丛书绿色假期暑假作业系列答案
小学生暑假衔接陕西师范大学出版总社系列答案
考易通暑假衔接教材新疆美术摄影出版社系列答案
超能学典暑假接力棒南京大学出版社系列答案
文涛书业假期作业快乐暑假系列答案
相关题目
已知各项均为正数的数列{a
n
}满足a
n+1
2
=2a
n
2
+a
n
a
n+1
,a
2
+a
4
=2a
3
+4,其中n∈N
*
.
(Ⅰ)求数{a
n
}的通项公式;
(Ⅱ)设数{b
n
}的前n项和T
n
,令b
n
=a
n
2
,其中n∈N
*
,试比较
T
n+1
+12
4
T
n
与
2
log
2
b
n+1
+2
2
log
2
b
n
-1
的大小,并加以证明.
已知各项均为正数的数列{a
n
}满足a
n+1
2
=2a
n
2
+a
n
a
n+1
,a
2
+a
4
=2a
3
+4,其中n∈N
*
.
(Ⅰ)求数{a
n
}的通项公式;
(Ⅱ)设数{b
n
}的前n项和T
n
,令b
n
=a
n
2
,其中n∈N
*
,试比较
与
的大小,并加以证明.
已知各项均为正数的数列{a
n
}满足a
n+1
2
=2a
n
2
+a
n
a
n+1
,a
2
+a
4
=2a
3
+4,其中n∈N
*
.
(Ⅰ)求数{a
n
}的通项公式;
(Ⅱ)设数{b
n
}的前n项和T
n
,令b
n
=a
n
2
,其中n∈N
*
,试比较
T
n+1
+12
4
T
n
与
2
log
2
b
n+1
+2
2
log
2
b
n
-1
的大小,并加以证明.
已知各项均为正数的数列{a
n
}满足a
n+1
2
=2a
n
2
+a
n
a
n+1
,a
2
+a
4
=2a
3
+4,其中n∈N
*
.
(Ⅰ)求数{a
n
}的通项公式;
(Ⅱ)设数{b
n
}的前n项和T
n
,令b
n
=a
n
2
,其中n∈N
*
,试比较
与
的大小,并加以证明.
已知各项均为正数的数列{a
n
}满足a
n+1
2
=2a
n
2
+a
n
a
n+1
,a
2
+a
4
=2a
3
+4,其中n∈N
*
.
(Ⅰ)求数{a
n
}的通项公式;
(Ⅱ)设数{b
n
}的前n项和T
n
,令b
n
=a
n
2
,其中n∈N
*
,试比较
与
的大小,并加以证明.
关 闭
试题分类
高中
数学
英语
物理
化学
生物
地理
初中
数学
英语
物理
化学
生物
地理
小学
数学
英语
其他
阅读理解答案
已回答习题
未回答习题
题目汇总
试卷汇总
练习册解析答案