题目内容
下列说法中,正确的是( )①若直线a∥b,b
平面α,则a∥α ②若直线a∥α,b
α,则有a∥b ③若直线a∥b,直线a∥α,则b∥α ④若直线a∥α,b∥α,则有a∥b
A.①④ B.①③ C.② D.均不正确
答案:D
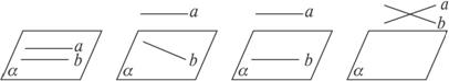
解析:如下图.
![]()
可能a
α, a、b可能异面,可能b
α,a、b可能相交,
∴①错. ∴②错. ∴③错. ∴④错.故选D.
练习册系列答案
相关题目
题目内容
下列说法中,正确的是( )①若直线a∥b,b
平面α,则a∥α ②若直线a∥α,b
α,则有a∥b ③若直线a∥b,直线a∥α,则b∥α ④若直线a∥α,b∥α,则有a∥b
A.①④ B.①③ C.② D.均不正确
答案:D
解析:如下图.
![]()
可能a
α, a、b可能异面,可能b
α,a、b可能相交,
∴①错. ∴②错. ∴③错. ∴④错.故选D.