题目内容
如图是求的值的程序框图,则正整数n= 。
4.如图给出的是求的值的一个程序框图,其中判断框内应填入的条件是 _____________
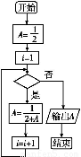
如图是求(共6个2)的值的程序框图,图中的判断框中应填( )
(A)i≤5? (B)i<5?
(C)i≥5? (D)i>5?