题目内容
已知函数
.
(1)当
时,求函数
的极值点;
(2)记
,若对任意
,都有
成立,求实数
的取值范围.
(1)当
(2)记
解:(1)
,定义域
令
,得

∴
的极小值点为:
;无极大值点
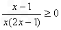
(2)由题得,对任意
,恒有
,
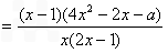
令
.则
,其中
∵
∵
,
∴
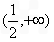
当
时,恒有
,所以
,函数单调递增,
,成立
当
时,令
,则
当
时,
,单调递减;
当
时,
,单调递增;
∴
为函数的最小值,又
所以不成立
综上所述,
.
令
∴
(2)由题得,对任意
令
∵
∵
∴
当
当
当
当
∴
综上所述,
练习册系列答案
相关题目