题目内容
已知双曲线
【答案】分析:在△PF1F2中,根据正弦定理算出PF1=2PF2.根据tan∠PF1F2=
,tan∠PF2F1=-2,结合三角形内角和与两角和的正切公式,得到tan∠F1PF2值,从而算出cos∠F1PF2值,根据余弦定理得到
+
-2PF1•PF2cos∠F1PF2=3.将两式联解即得PF1、PF2的长,从而得到双曲线的2a值,最后用离心率的公式可求出双曲线的离心率.
解答:解:∵△PF1F2中,sin∠PF1F2═
,sin∠PF1F2═
,
∴由正弦定理得
,…①
又∵
,tan∠PF2F1=-2,
∴tan∠F1PF2=-tan(∠PF2F1+∠PF1F2)=-
=
,可得cos∠F1PF2=
,
△PF1F2中用余弦定理,得
+
-2PF1•PF2cos∠F1PF2=
=3,…②
①②联解,得
,可得
,
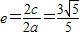
∴双曲线的
,结合
,得离心率
故答案为:
点评:本题以求双曲线的离心率为载体,考查正余弦定理解三角形、两角和的正切公式和双曲线的标准方程与简单几何性质等知识,属于中档题.
解答:解:∵△PF1F2中,sin∠PF1F2═
∴由正弦定理得
又∵
∴tan∠F1PF2=-tan(∠PF2F1+∠PF1F2)=-
△PF1F2中用余弦定理,得
①②联解,得
∴双曲线的
故答案为:
点评:本题以求双曲线的离心率为载体,考查正余弦定理解三角形、两角和的正切公式和双曲线的标准方程与简单几何性质等知识,属于中档题.
练习册系列答案
相关题目